產品目錄
蒸汽流量計
渦街流量計
孔板流量計
壓縮空氣流量計
氣體流量計
熱式氣體質量流量計
旋進旋渦流量計
金屬管浮子流量計
氣體羅茨流量計
電磁流量計
渦輪流量計
橢圓齒輪流量計
水流量計
液體流量計
超聲波流量計
磁翻板液位計
浮子液位計
浮球液位計
玻璃管液位計
雷達液位計
超聲波液位計
投入式液位計
壓力變送器
差壓變送器
液位變送器
溫度變送器
熱電偶
熱電阻
雙金屬溫度計
相關產品
聯系我們
聯系電話:13655235852
服務熱線:0517-86801009
公司傳真:0517-86801007
公司郵箱:1464856260@qq.com
公司地址:江蘇省金湖縣理士大道61號
燃氣流量計選型注意事項
摘 要:討論城市燃氣氣源由人工煤氣向天然氣轉化時,各類用戶的流量計選型問題,并以鎮江為例,對燃氣流量計的選型進行了實例分析,提出了相關選型的建議。
1 引言
隨著“西氣東輸”工程的建設,天然氣將逐步被引入沿線城市,各城市的氣化率及銷氣量也將逐步提高,以鎮江市為例,2010年供氣量將達2億m3,此時供銷差變化1%,將影響燃氣公司的利潤近400萬元,隨著市場的日趨成熟,燃氣公司與上游的交割氣量,雙方都很重視,計量也相對準確,供銷差的一個決定因素是各類用戶的計量準確性,要保證計量的準確,流量計的選型是根本。
2 流量計選型的基本原則
2.1 計量真實、準確
2.1.1 流量計的計量范圍合理
每一臺流量計都有一個在誤差范圍內的標準計量區間、*基本的始動流量值,流量計選型時,要滿足下游用戶的用氣特性,要求用戶的*大用氣流量不超過其*大量值,*小用氣流量要大于其*小量值,至少要大于流量計的始動量值,用戶的正常用氣量*好選在量程的20%~85%的范圍內。
2.1.2 流量計的計量值客觀、真實
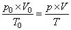
燃氣進行貿易結算都是基于某一狀態下的基準值,現中石油與下游燃氣公司進行貿易結算的標準溫度、壓力參數為:壓力p0=101.325kPa,溫度T0=293.15K,而用戶的用氣工況時的溫度、壓力與貿易結算的標準狀態不相同,可選用理想狀態方程式換算:
--- (1)
為便于換算,可將燃氣流量換算公式簡化為:
--- (2)
式中:
V0— 貿易結算標準狀態下的燃氣體積流量,m3/h;
V— 工作狀態下的燃氣體積流量,m3/h;
p— 工作狀態下燃氣的絕對壓力值。若計量過程中有波動,則為燃氣實際平均絕對壓力值,p=p表+p',kPa;
p表— 現場壓力計讀出的燃氣壓力值,kPa;
p'— 當地大氣壓力值,kPa;
T— 燃氣的實測絕對溫度。若計量過程有波動,則為燃氣實際平均絕對溫度,K;
T=t+ 273.15K ;
t— 現場讀出的燃氣平均攝氏溫度,℃。
從式(2)可以看出,燃氣壓力每增加1kPa或溫度每降低2.9℃,貿易結算的流量值都將增加1%。一般情況下流量計出廠時不具備溫度和壓力自動修正功能,所以,流量計選型時,設計人員還必須根據用戶用氣時要求的額定工作壓力、全年用氣時間段的平均氣溫有針對性地確定溫度及壓力的補償修正。中石油公司與燃氣公司關于氣量決算的標準溫度定為293.15K,在明確要進行溫度修正的同時,還要告訴廠家進行溫度、壓力修正的標準值,這樣,才能確保流量計真實、準確的計量。
我公司在門站所選用流量計為設計壓力40MPa,G1600和G250的進口渦輪流量計,并選用流量修正計算機進行溫度、壓力修正,將有關數據遠程傳送至中控室。
2.2 流量計經濟耐用
現燃氣流量計主要類型有容積式(皮膜表和羅茨表)、速度式(渦輪表)、振動式(渦街表和旋進旋渦表)、差壓式(孔板流量計)、超聲波流量計和靶式流量計。根據鎮江的情況,主要選用前三種。不同類型的流量計具有不同的儀表特性(精確度、重復性、線性度、計量范圍、壓力損失、上下限流量、響應時間等)和流體特性(流體壓力、溫度、密度、粘度、磨蝕、腐蝕、結垢、臟污等),要求的安裝條件(管道布置方向、流動方向、上下游直管段的長度、管徑、維護空間、過濾排污等輔助設備)和使用條件(環境的溫度、濕度、腐蝕性、安全性、電磁干擾、防爆等)不一樣,其價格、費用(購置費、安裝費、維護費、檢定費、運行費及使用年限)也各不相同,所以流量計選型時要綜合考慮氣源的性質、流量計的特性、管網壓力級制和用戶的經濟承受能力等因素。常用流量計的性能特性及安裝要求見表1。
表1 常用流量計主要性能比較

3 民用戶的燃氣表選型
目前,鎮江市民用戶所使用的燃氣器具一般有雙眼灶及熱水器,燃氣雙眼灶具的總熱負荷約7kW,折算成天然氣的耗氣量為0.7m3/h(天然氣的低熱值按35.58MJ/m3計),熱水器主要為8L/min或10L/min的,其熱負荷一般為16或22kW,折算成天然氣的耗氣量為1.7或2.2m3/h,那么,居民家用燃氣器具總的耗氣量(天然氣)在2.4~2.9m3/h之間,其*小用氣量約0.028m3/h,大于G2.5皮膜表的*小流量,建議民用戶家用燃氣表選用G2.5型的。
4 普通公建用戶的流量計選型
4.1 單位食堂或餐飲用戶
這類用戶的燃氣器具數量較多,用氣量波動較大。*大用氣量在65m3/h以下,燃氣配管直接從低壓管網接入、灶具額定工作壓力為2kPa(焦爐氣為1kPa)的建議選用G65以下的皮膜表,經濟實用;*大用氣量雖然<100m3/h,但灶前壓力>3kPa,或*大用氣量>100m3/h,建議選羅茨表并帶溫度、壓力補償。
鎮江市現有焦爐氣用戶主要以民用戶和餐飲用戶為主,對使用智能表和普通羅茨表的部分餐飲用戶(焦爐氣1kPa)進行了比較,天然氣用戶灶具額定工作壓力為2kPa,假設溫度為標準溫度,存在2%供銷差。因此在實際運用中,用氣量<25m3/h時選用皮膜表:用氣量>25m3/h時選用羅茨表,將來條件允許時進行溫度、壓力補償。如*大用氣量>100m3/h,選用羅茨表并帶溫度、壓力補償。
4.2 采暖、熱水鍋爐及空調直燃機用戶
該類用戶用氣壓力一般在5~16kPa,用氣量較大,以*小的一體化空調直燃機(熱負荷為840MJ/h)為例,用氣量約為25m3/h天然氣,*小運行負荷一般在額定負荷的45%以上,用戶一般僅1~2臺燃燒設備。*大用氣量<300m3/h,建議選用羅茨表,并帶溫度、壓力補償,安裝在調壓器后。*大用氣量>300m3/h,氣源為天然氣時,建議選用帶溫度、壓力補償的智能型渦輪流量計;若用焦爐氣,建議選用帶溫度、壓力補償的智能型旋進流量計,且安裝在調壓器前,旋進流量計阻力損失較大,選型時可降低一個規格。
鎮江市區內已嚴禁使用燃煤鍋爐,近年來柴油、液化氣價格漲幅較大,為天然氣用戶發展提供了良好的市場環境,市區的采暖、熱水鍋爐用戶現均使用焦爐氣,考慮不久將使用天然氣,結合性價比,*大用氣量在300m3/h以上采暖、熱水鍋爐用戶均選用帶溫度、壓力補償的智能型渦輪流量計,如鎮江*四人民醫院鍋爐房一臺熱水爐一臺蒸汽爐,調壓器出口壓力10kPa,總流量1000m3/h,始動流量20m3/h,選用了帶溫度、壓力補償的渦輪流量計,假設溫度為標準溫度,用戶每天用氣4h,供銷差為10%,每年的補償量為14萬m3。
5 普通小工業用戶的流量計選型
該類用戶的*大用氣量可能并不大,一般小于300m3/h,但燃燒設備多,*小用氣量可能不到*大用氣量的5%,用氣壓力一般在5~20kPa,建議選用羅茨表并帶溫度、壓力補償。現印染廠使用300m3/h(焦爐煤氣)的羅茨表,調壓器的出口壓力控制在4000kPa,未進行溫度、壓力補償。假設溫度為標準溫度,用戶每天用氣6h,供銷差為4%,每年損失2.5萬m3,在今后置換過程中這些小型工業用戶的流量計將逐步加設溫度、壓力補償。
6 大型公建用戶及工業用戶選型
該類用戶一般指用氣壓力在6~20kPa,*大用氣量>600m3/h的工業及大型公建用戶,用戶不僅單臺設備用氣量大,設備數量也較多,單臺機組*低用氣量一般不低于額定用氣量的45%,在*大用氣量的10%以上,如氣源為天然氣,選用帶溫度、壓力補償的智能型渦輪或旋進流量計均可以。
現市內一些大型工業用戶均安裝渦輪流量計,新安裝的鈦白粉廠工業窯爐,調壓器出口壓力10kPa,選用兩臺帶溫度、壓力補償的進口渦輪流量計(Q=1600m3/h)。假設為標準溫度,用戶每天用氣6h,供銷差為10%,每年的補償量67.2萬m3。
在實際工作中,除綜合考慮用戶燃燒器具的多少、用氣量的大小、用氣的特性外,還要考慮所選流量計對氣質的適應能力,特別是燃燒器具比較多的食堂或餐飲用戶,其*大用氣量要計算準確,否則不利于準確計量,建議對該類飲食公建用戶的流量計選型時可保守些,以確保流量計的計量準確。

