差壓孔板流量計的工作原理
差壓孔板流量計在各個行業都應用廣泛、歷史悠久,在各類流量儀表中其使用量占居*位。近年來,由于各種新型流量計的不斷涌現,致使它的用量有所下降。
差壓孔板流量計由三部分組成,即由節流裝置、導壓管和差壓計。差壓孔板流量計是利用流體流動的節流原理來實現流量測量的。節流原理是流體在有節流裝置的管道中流動時,在節流裝置前后的管壁處,流體的靜壓力產生差異的現象.
1、差壓孔板流量計的原理
流動流體的能量有靜壓能和動能兩種形式.流體具有靜壓能是因為有壓力,具有動能是因為有流動速度,在一定條件下,這兩種形式的能量是可以相互轉化.根據能量守恒定律,在沒有外加能量的前提下,流體所具有的靜壓能和動能,再加上用以克服流體流動阻力的能量損失,其能量總和是相等的。

圖1表示在節流裝置前后截面Ⅰ、Ⅱ及Ⅲ處流體壓力與速度的分布情況。流體在到達截面Ⅰ之前,以一定的流速v1流動,此時靜壓力為p1。在接近節流裝置時,由于遇到節流裝置的阻礙,使靠近管壁處的流體受到節流裝置的阻擋作用,使部分動能轉化為靜壓能,使得節流裝置入口端面靠近管壁處的流體靜壓力升高,并且遠大于管徑中心處的壓力,因此節流裝置入口端面處產生一徑向壓差。
在徑向壓差的作用下,流體產生徑向加速度,從而使靠近管壁處的流體質點的流動方向傾斜于管道中心軸線,出現縮脈現象。由于受到慣性作用,流速的*小截面并不在節流裝置的孔口處,而是經過節流裝置之后仍繼續收縮,到截面Ⅱ處流速達到*小,此時流速大,即v2,之后流速又逐漸擴大,至截面Ⅲ后完全恢復,流速逐漸降到原值,即v3=v1。
由于節流裝置產生流速的局部收縮現象,使流體的流速隨之變化,即動能也跟著變化.根據能量守恒定律,表征流體靜壓能的靜壓力也要變化。在截面Ⅰ處,流體具有靜壓力p1。在截面Ⅱ處,流速增到*大v2,靜壓力就降到*小p2,而后又隨著流速的恢復而恢復。由于在節流裝置端面處流通面突然縮小,而節流裝置之后流通面積突然又擴大,使流體形成局部渦流,部分能量被消耗,同時流體流經孔板時,為克服摩擦力也需消耗能量,所以流體在截面Ⅲ處的靜壓力p3不能恢復到原值p1,而產生的壓力損失.截面Ⅰ與Ⅱ處的壓差(δp=p1- p2)與流體在節流裝置前的流量有一一對應關系,只要測出節流裝置前后的壓差大小即可表示流量大小。

2、差壓式流量方程推導
流體流經節流裝置時,不對外做功,沒有外加能量,流體本身也沒有溫度變化.在管道內流動的流體,對于管道中任意兩個截面都符合伯努利方程,現選截面Ⅰ和Ⅱ(見圖2)進行分析。
流體的伯努利方程:

從上式可以看出:流量與壓力差ΔP的平方根成正比。
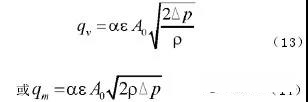
對于可壓縮流體流量監測,因其易發生體積變化,所以在流量方程中要引入膨脹系數ε,則流量基本方程可寫為:

式中:qv、qm分別為被測介質的體積流量和質量流量;A0節流裝置的開孔截面積;ρ節流裝置前的流體密度。
式(13)、(14)為節流式流量計的流量方程,即壓差和流量間的定量關系。
由流量基本方程可以看出,在其他條件不變的前提下,流量與壓差的平方根成正比,要知道流量與壓力差的真實關系,關鍵在于α的取值。α是受許多因素影響的綜合性系數,對于標準節流裝置,其值可以從有關手冊中查出;對于非標準節流裝置,其值主要由實驗方法得到。
下一篇:差壓孔板流量計如何選型
上一篇:標準孔板流量計維護保養

